在设计电解槽时,产气量是一个关键的设计参数。以下是详细的步骤和注意事项,用于计算电解槽的产气量并进行设计。
一、电解反应与产气量计算
电解槽的基本功能是将水分子分解成氢气和氧气。这一过程的化学方程式为:
从这个方程式可以看出,每电解2mol的水,就会产生2mol的氢气和1mol的氧气。在相同条件下,气体的体积与其物质的量成正比。因此,我们可以通过电解的水的量来计算产生的气体体积。
二、理论产气量的计算
在标准状态下(0°C,1大气压),电解1mol水需要2×96500库仑的电量,这可以制取1mol氢气和0.5mol氧气。1mol氢气在标准状态下的体积为22.43升。因此,制取1摩尔氢气所需的理论电量为:
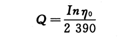
电流测试值计算气体产量公式:
式中:
Q-氢气产量,单位为立方米每时(m'/h);
I-通过水电解槽小室的直流电流,单位为安(A);
n-电解小室数,个;
ηo-电流效率,可设定为100%。
三、电解效率的确定
由于电解过程中存在能量损失、电极极化、电解质浓度变化等因素,实际产气量通常会低于理论产气量。电解效率可以通过实验或经验数据来估算。电解效率的计算公式为:
四、电解槽尺寸和结构设计
设计电解槽时,需要确定以下参数:
1. 产气量:这是设计之初就需要确定的,例如设计一个每小时产气1000立方米的电解槽。
2. 极板的直径/电极直径:这决定了有效电解面积。电解面积越大,单位时间内电解的水分子就越多,产气量也就越大。
3. 电流密度:这用于计算电解槽所需的电流。电流密度是指单位面积上通过的电流,它影响电解效率和电极的寿命。
根据这些数据,我们可以计算出所需的电解槽数量,然后进行详细的设计。设计时还需要考虑电解槽的材质、结构、密封性等因素。
五、模拟和优化
在设计过程中,可以使用计算机模拟软件来模拟电解槽内的反应过程,预测产气量和其他性能指标。通过模拟结果,可以对电解槽的设计进行优化,以提高产气量和电解效率。模拟软件可以帮助我们预测在不同操作条件下电解槽的性能,从而在实际制造之前进行必要的调整。
六、实验验证和调整
最后,需要通过实验来验证电解槽的设计效果。在实验过程中,可以调整电解条件、电极材料和电解质等参数,以观察产气量的变化。实验结果可以用来验证模拟的准确性,并为进一步的设计调整提供依据。
通过这些步骤,我们可以设计出高效、经济的电解槽,以满足不同应用场景的需求。设计过程中的每一个环节都是相互关联的,需要综合考虑各种因素,以达到最佳的电解效果。

